A 60 Kg Person Rides In An Elevator
A 60 Kg Person Rides In An Elevator: What Happens to Your Weight?
Ever wondered what really goes on when you, a 60 kg person, step into an elevator and it starts moving? It's a common experience, but the physics behind it can be quite fascinating! You might feel a momentary change in your "weight" – sometimes heavier, sometimes lighter. Let's break down the forces at play and understand what's happening to A 60 Kg Person Rides In An Elevator during its journey.
This article will guide you through the different scenarios, explaining why your body reacts the way it does. We'll explore the concepts of apparent weight and the forces involved, making sense of those subtle sensations you feel. Get ready to understand your elevator rides like never before!
Understanding Forces in an Elevator
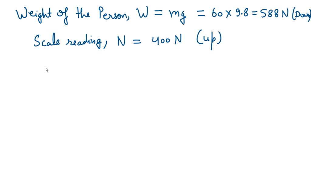
When you stand still, two primary forces act on your body: gravity pulling you down, and the normal force from the floor pushing you up. For A 60 Kg Person Rides In An Elevator, your actual weight (mass x gravitational acceleration, approximately 60 kg * 9.8 m/s²) is about 588 Newtons.
When the elevator is stationary or moving at a constant velocity, the normal force from the floor perfectly balances your gravitational force. This means your apparent weight feels exactly like your actual weight. There's no net acceleration, so you feel perfectly normal.
When the Elevator Accelerates Upwards
Have you ever felt a slight push downwards, making you feel heavier, as an elevator begins to ascend? This is a classic example of apparent weight change. When the elevator accelerates upwards, the floor has to push harder on your feet than just balancing gravity.
The normal force (what you perceive as your weight) becomes greater than your actual gravitational force. This extra force provides the upward acceleration. So, A 60 Kg Person Rides In An Elevator accelerating upwards will feel heavier than 60 kg.
When the Elevator Accelerates Downwards
Conversely, that brief sensation of lightness when an elevator starts its downward journey is also due to acceleration. As the elevator accelerates downwards, the floor doesn't need to push against you as hard to support you.
In this case, the normal force exerted by the floor is less than your gravitational force. This reduced normal force is why you feel lighter. If the elevator were to accelerate downwards at the same rate as gravity (freefall), you would feel weightless!
Constant Velocity in an Elevator
Once the elevator reaches a steady speed, whether moving up or down, the acceleration becomes zero. At this point, the forces are balanced again.
The normal force exerted by the floor on A 60 Kg Person Rides In An Elevator becomes equal to your actual weight. You will feel perfectly normal, just as if you were standing on solid ground. This demonstrates that it's the change in velocity, not the velocity itself, that alters your apparent weight.
Key Takeaways for A 60 Kg Person Rides In An Elevator
Understanding these principles can make your daily elevator rides much more interesting. Here's a quick summary of what happens:
- Stationary or Constant Velocity: Your apparent weight is equal to your actual weight (60 kg).
- Accelerating Upwards: You feel heavier because the floor pushes up with more force than your actual weight.
- Accelerating Downwards: You feel lighter because the floor pushes up with less force than your actual weight.
- Decelerating Upwards (slowing down at the top): You will feel lighter, similar to accelerating downwards.
- Decelerating Downwards (slowing down at the bottom): You will feel heavier, similar to accelerating upwards.
It's all about Newton's second law: Force = mass x acceleration!
Conclusion
So, the next time A 60 Kg Person Rides In An Elevator, you'll know exactly why those brief feelings of being heavier or lighter occur. It's not your actual mass changing, but rather the normal force exerted by the elevator floor on your feet. This fascinating interplay of forces is a perfect everyday example of fundamental physics in action. Enjoy your rides, and happy learning!
FAQ: A 60 Kg Person Rides In An Elevator
- Why do I feel heavier when an elevator starts moving up?
- You feel heavier because the elevator floor has to exert an additional upward force to accelerate your 60 kg mass upwards, on top of supporting your normal weight. This increased normal force is what you perceive as being heavier.
- Why do I feel lighter when an elevator starts moving down?
- You feel lighter because as the elevator accelerates downwards, the floor doesn't need to push up against you as strongly. Part of your weight is "contributing" to the downward acceleration, resulting in a reduced normal force from the floor.
- Does my actual mass change when I'm in an elevator?
- No, your actual mass (the amount of matter in your body, 60 kg in this case) remains constant regardless of the elevator's motion. What changes is your apparent weight, which is the force exerted on you by the elevator floor.
- What happens if an elevator cable breaks and it's in freefall?
- If an elevator were in perfect freefall (accelerating downwards at the rate of gravity, 9.8 m/s²), you would feel completely weightless. Both you and the elevator would be accelerating at the same rate due to gravity, meaning the floor would exert no normal force on you.
A 60 Kg Person Rides In An Elevator
A 60 Kg Person Rides In An Elevator Wallpapers
Collection of a 60 kg person rides in an elevator wallpapers for your desktop and mobile devices.

Lush A 60 Kg Person Rides In An Elevator Moment Digital Art
Immerse yourself in the stunning details of this beautiful a 60 kg person rides in an elevator wallpaper, designed for a captivating visual experience.

Stunning A 60 Kg Person Rides In An Elevator Background for Desktop
Find inspiration with this unique a 60 kg person rides in an elevator illustration, crafted to provide a fresh look for your background.
Crisp A 60 Kg Person Rides In An Elevator Wallpaper Collection
This gorgeous a 60 kg person rides in an elevator photo offers a breathtaking view, making it a perfect choice for your next wallpaper.

Spectacular A 60 Kg Person Rides In An Elevator View Digital Art
Immerse yourself in the stunning details of this beautiful a 60 kg person rides in an elevator wallpaper, designed for a captivating visual experience.

Lush A 60 Kg Person Rides In An Elevator Abstract Nature
Immerse yourself in the stunning details of this beautiful a 60 kg person rides in an elevator wallpaper, designed for a captivating visual experience.

Serene A 60 Kg Person Rides In An Elevator Scene for Desktop
Discover an amazing a 60 kg person rides in an elevator background image, ideal for personalizing your devices with vibrant colors and intricate designs.

Lush A 60 Kg Person Rides In An Elevator View Art
Immerse yourself in the stunning details of this beautiful a 60 kg person rides in an elevator wallpaper, designed for a captivating visual experience.

Beautiful A 60 Kg Person Rides In An Elevator Abstract Art
Explore this high-quality a 60 kg person rides in an elevator image, perfect for enhancing your desktop or mobile wallpaper.

Beautiful A 60 Kg Person Rides In An Elevator Background Collection
Experience the crisp clarity of this stunning a 60 kg person rides in an elevator image, available in high resolution for all your screens.

Exquisite A 60 Kg Person Rides In An Elevator Photo for Mobile
A captivating a 60 kg person rides in an elevator scene that brings tranquility and beauty to any device.

Exquisite A 60 Kg Person Rides In An Elevator Abstract Digital Art
Immerse yourself in the stunning details of this beautiful a 60 kg person rides in an elevator wallpaper, designed for a captivating visual experience.

Crisp A 60 Kg Person Rides In An Elevator Design Art
Immerse yourself in the stunning details of this beautiful a 60 kg person rides in an elevator wallpaper, designed for a captivating visual experience.

Breathtaking A 60 Kg Person Rides In An Elevator Background Illustration
Transform your screen with this vivid a 60 kg person rides in an elevator artwork, a true masterpiece of digital design.

Artistic A 60 Kg Person Rides In An Elevator Picture for Your Screen
A captivating a 60 kg person rides in an elevator scene that brings tranquility and beauty to any device.

Vivid A 60 Kg Person Rides In An Elevator Photo Art
Experience the crisp clarity of this stunning a 60 kg person rides in an elevator image, available in high resolution for all your screens.

Crisp A 60 Kg Person Rides In An Elevator Picture in 4K
A captivating a 60 kg person rides in an elevator scene that brings tranquility and beauty to any device.

High-Quality A 60 Kg Person Rides In An Elevator Abstract Digital Art
Discover an amazing a 60 kg person rides in an elevator background image, ideal for personalizing your devices with vibrant colors and intricate designs.

Lush A 60 Kg Person Rides In An Elevator Background for Mobile
This gorgeous a 60 kg person rides in an elevator photo offers a breathtaking view, making it a perfect choice for your next wallpaper.

Exquisite A 60 Kg Person Rides In An Elevator Capture Digital Art
Immerse yourself in the stunning details of this beautiful a 60 kg person rides in an elevator wallpaper, designed for a captivating visual experience.

Spectacular A 60 Kg Person Rides In An Elevator Photo Collection
Immerse yourself in the stunning details of this beautiful a 60 kg person rides in an elevator wallpaper, designed for a captivating visual experience.
Download these a 60 kg person rides in an elevator wallpapers for free and use them on your desktop or mobile devices.
0 Response to "A 60 Kg Person Rides In An Elevator"
Post a Comment