Taylor Tried To Solve An Equation Step By Step
Taylor Tried To Solve An Equation Step By Step
Are you struggling with solving equations? You're not alone! Many students find algebra challenging, but understanding the process is key. This article will guide you through the principles involved when someone like Taylor tried to solve an equation step by step, breaking down the often complex journey into manageable parts. By following a structured approach, you can master equation solving and tackle even the trickiest problems with confidence.
Imagine you're watching Taylor diligently working through a math problem. What thought process did they follow? We'll explore the logical progression, common strategies, and how to avoid mistakes, much like Taylor would have done to ensure accuracy.
Understanding the Basics of Equation Solving
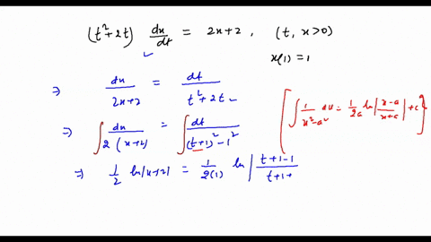
Before diving into specific steps, it's crucial to grasp what an equation truly represents. An equation is a mathematical statement that shows two expressions are equal. Our goal when solving an equation is to find the value(s) of the unknown variable(s) that make the statement true.
Think of an equation as a balanced scale. Whatever operation you perform on one side, you must perform on the other to maintain balance. This fundamental principle ensures that the equality remains valid throughout the solving process.
Taylor's Initial Approach: Identifying the Problem
When Taylor first encountered the equation, their initial step was likely to analyze its components. This involves recognizing the variable, constants, and the operations connecting them. For instance, is it a linear, quadratic, or more complex equation?
Identifying the type of equation helps determine the appropriate solving strategy. This critical first look prevents errors and sets the stage for a smooth resolution. It's the foundational step before any calculations begin.
Step-by-Step Breakdown: Following Taylor's Path
Let's consider how Taylor would systematically approach solving an equation. Every expert knows that breaking it down makes it manageable. Here are the typical steps involved when Taylor tried to solve an equation step by step:
- Simplify Both Sides: Distribute, combine like terms, and clear any parentheses on each side of the equation. This makes the equation less cluttered.
- Isolate Variable Terms: Use addition or subtraction to move all terms containing the variable to one side of the equation. Simultaneously, move all constant terms to the opposite side.
- Isolate the Variable: Employ multiplication or division to get the variable by itself. This is often the final step, revealing the solution.
- Check Your Solution: Substitute the found value of the variable back into the original equation. If both sides are equal, your solution is correct!
Each step builds upon the previous one, ensuring that the equation remains equivalent throughout the transformation. This meticulous approach is exactly how Taylor would ensure accuracy.
Common Pitfalls and How Taylor Might Have Avoided Them
Even experienced solvers encounter errors. Taylor, like any diligent student, would be aware of common pitfalls. These often include sign errors when distributing or combining terms, or incorrectly applying inverse operations. Double-checking each arithmetic step is vital.
Another common mistake is forgetting to apply an operation to both sides of the equation. Taylor would likely review each step, perhaps even re-writing the equation after each change to ensure balance. This vigilance minimizes errors and leads to a correct answer.
Conclusion
Understanding how Taylor tried to solve an equation step by step reveals the power of a systematic approach. By breaking down complex problems into smaller, manageable tasks, anyone can successfully navigate algebraic equations. Remember to analyze the equation, simplify, isolate terms, and always check your work.
Embrace these strategies, and you'll find that solving equations becomes a clear and logical process, just as Taylor demonstrated. Keep practicing, and your confidence in algebra will surely grow!
Frequently Asked Questions (FAQ)
- What is the first step when solving an equation?
- The first step is usually to simplify both sides of the equation by distributing, combining like terms, and clearing any parentheses to make it easier to work with.
- Why is it important to check your solution?
- Checking your solution by substituting it back into the original equation verifies that it satisfies the equality. This is a crucial step to confirm accuracy and catch any potential errors made during the solving process.
- What does 'isolate the variable' mean?
- 'Isolate the variable' means to manipulate the equation using inverse operations until the variable stands alone on one side of the equality sign. This reveals its numerical value.
- How can I avoid common mistakes like sign errors?
- To avoid sign errors, be meticulous with your arithmetic and pay close attention when distributing negative numbers or transposing terms across the equals sign. Writing out each step clearly can also help prevent oversights.
Taylor Tried To Solve An Equation Step By Step
Taylor Tried To Solve An Equation Step By Step Wallpapers
Collection of taylor tried to solve an equation step by step wallpapers for your desktop and mobile devices.

High-Quality Taylor Tried To Solve An Equation Step By Step Design Illustration
Transform your screen with this vivid taylor tried to solve an equation step by step artwork, a true masterpiece of digital design.
Serene Taylor Tried To Solve An Equation Step By Step Moment Nature
Transform your screen with this vivid taylor tried to solve an equation step by step artwork, a true masterpiece of digital design.

Mesmerizing Taylor Tried To Solve An Equation Step By Step Design in 4K
Discover an amazing taylor tried to solve an equation step by step background image, ideal for personalizing your devices with vibrant colors and intricate designs.

Serene Taylor Tried To Solve An Equation Step By Step Wallpaper Digital Art
Experience the crisp clarity of this stunning taylor tried to solve an equation step by step image, available in high resolution for all your screens.

Gorgeous Taylor Tried To Solve An Equation Step By Step Abstract in HD
This gorgeous taylor tried to solve an equation step by step photo offers a breathtaking view, making it a perfect choice for your next wallpaper.
Exquisite Taylor Tried To Solve An Equation Step By Step Picture Nature
This gorgeous taylor tried to solve an equation step by step photo offers a breathtaking view, making it a perfect choice for your next wallpaper.
Vibrant Taylor Tried To Solve An Equation Step By Step Scene Nature
Experience the crisp clarity of this stunning taylor tried to solve an equation step by step image, available in high resolution for all your screens.

Serene Taylor Tried To Solve An Equation Step By Step Moment Collection
Experience the crisp clarity of this stunning taylor tried to solve an equation step by step image, available in high resolution for all your screens.
Artistic Taylor Tried To Solve An Equation Step By Step Abstract for Desktop
A captivating taylor tried to solve an equation step by step scene that brings tranquility and beauty to any device.

Crisp Taylor Tried To Solve An Equation Step By Step Background in 4K
This gorgeous taylor tried to solve an equation step by step photo offers a breathtaking view, making it a perfect choice for your next wallpaper.

Artistic Taylor Tried To Solve An Equation Step By Step Landscape Collection
Find inspiration with this unique taylor tried to solve an equation step by step illustration, crafted to provide a fresh look for your background.

Crisp Taylor Tried To Solve An Equation Step By Step Scene in HD
Immerse yourself in the stunning details of this beautiful taylor tried to solve an equation step by step wallpaper, designed for a captivating visual experience.

Amazing Taylor Tried To Solve An Equation Step By Step Design Photography
Experience the crisp clarity of this stunning taylor tried to solve an equation step by step image, available in high resolution for all your screens.

Lush Taylor Tried To Solve An Equation Step By Step Image Concept
This gorgeous taylor tried to solve an equation step by step photo offers a breathtaking view, making it a perfect choice for your next wallpaper.

Breathtaking Taylor Tried To Solve An Equation Step By Step Moment Art
Experience the crisp clarity of this stunning taylor tried to solve an equation step by step image, available in high resolution for all your screens.

Mesmerizing Taylor Tried To Solve An Equation Step By Step Moment Photography
Explore this high-quality taylor tried to solve an equation step by step image, perfect for enhancing your desktop or mobile wallpaper.

Exquisite Taylor Tried To Solve An Equation Step By Step Scene for Your Screen
Find inspiration with this unique taylor tried to solve an equation step by step illustration, crafted to provide a fresh look for your background.

Vibrant Taylor Tried To Solve An Equation Step By Step Background in HD
Explore this high-quality taylor tried to solve an equation step by step image, perfect for enhancing your desktop or mobile wallpaper.

Crisp Taylor Tried To Solve An Equation Step By Step Background Illustration
This gorgeous taylor tried to solve an equation step by step photo offers a breathtaking view, making it a perfect choice for your next wallpaper.

Stunning Taylor Tried To Solve An Equation Step By Step Wallpaper Nature
This gorgeous taylor tried to solve an equation step by step photo offers a breathtaking view, making it a perfect choice for your next wallpaper.
Download these taylor tried to solve an equation step by step wallpapers for free and use them on your desktop or mobile devices.
0 Response to "Taylor Tried To Solve An Equation Step By Step"
Post a Comment