The Combustion Of Titanium With Oxygen Produces Titanium ...
The Combustion Of Titanium With Oxygen Produces Titanium Dioxide
Have you ever wondered what happens when a strong, lightweight metal like titanium meets the fiery embrace of oxygen? It's a fascinating chemical process! When you initiate the combustion of titanium with oxygen, it produces titanium dioxide. This reaction isn't just a simple burning; it's a powerful transformation that creates a highly stable and versatile compound with numerous applications.
Understanding this reaction helps us appreciate both the reactivity of titanium and the properties of its oxide. Let's dive deeper into the chemistry behind this intriguing combustion and discover the valuable product it yields.
Understanding Titanium's Reactivity
Titanium (Ti) is renowned for its excellent strength-to-weight ratio and corrosion resistance. However, it's also a surprisingly reactive metal, especially when heated. Its affinity for oxygen is quite high, which makes its combustion a vigorous and exothermic event.
Combustion, by definition, is a high-temperature exothermic redox chemical reaction between a fuel (in this case, titanium) and an oxidant (typically atmospheric oxygen). This reaction releases energy, often in the form of light and heat. For titanium, this reaction is particularly intense, producing a brilliant white flame.
The Chemical Reaction Unveiled
So, what exactly happens when titanium and oxygen combine? The reaction is straightforward, forming a single product. The balanced chemical equation clearly illustrates this process:
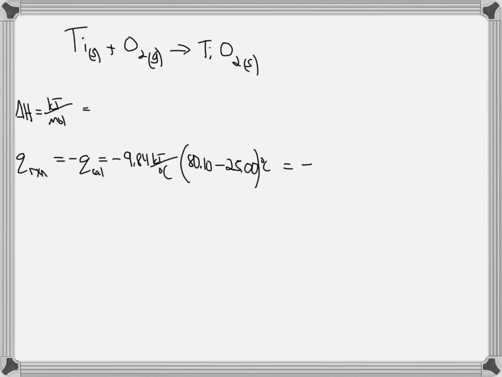
Ti(s) + O₂(g) → TiO₂(s)
This equation shows that one atom of solid titanium reacts with one molecule of gaseous oxygen to produce one molecule of solid titanium dioxide. It's a classic synthesis reaction where two elements combine to form a compound. The energy released during this process is significant, making it a spectacular display.
What Product Is Formed? Titanium Dioxide!
As we've established, the combustion of titanium with oxygen produces titanium dioxide (TiO₂). This compound is a white, insoluble solid that is remarkably stable. It's not just a byproduct; it's a highly valuable material used in various industries.
Titanium dioxide has an exceptionally high refractive index, meaning it reflects light very efficiently. This property makes it incredibly useful as a pigment. It also possesses UV-blocking capabilities, which adds to its versatility.
- Paints and coatings (for its whiteness and opacity)
- Plastics and papers (as a brightener)
- Sunscreen (due to its UV-blocking properties)
- Cosmetics (for pigment and UV protection)
- Food coloring (E171)
- Photocatalysts (in self-cleaning surfaces and air purifiers)
Factors Affecting Titanium Combustion
Several factors can influence the vigor and speed of titanium combustion. The presence of impurities, the surface area of the titanium, and the concentration of oxygen all play critical roles. For instance, finely powdered titanium will ignite much more readily and burn more explosively than a solid block.
Controlling these variables is crucial, especially in industrial settings where titanium is processed. Safety protocols are paramount to prevent uncontrolled combustion, which can pose significant hazards. Therefore, handling titanium requires careful consideration of its reactive nature.
- Always work in well-ventilated areas.
- Avoid sparks or open flames near titanium dust or shavings.
- Use appropriate fire extinguishers for metal fires (Class D).
- Store titanium in inert atmospheres or in sealed containers.
Conclusion
In summary, the chemical reaction where the combustion of titanium with oxygen produces titanium dioxide is a prime example of a synthesis and oxidation reaction. This process transforms the strong, reactive metal into a highly stable and incredibly useful white pigment and functional material, titanium dioxide. From paints to sunscreens, the product of this fiery union touches many aspects of our daily lives. Understanding this fundamental reaction highlights the fascinating interplay between elements and the creation of valuable compounds.
Frequently Asked Questions (FAQ)
- What is the primary product of titanium combustion?
- The primary product is titanium dioxide (TiO₂).
- Is titanium combustion an exothermic reaction?
- Yes, it is a highly exothermic reaction, meaning it releases a significant amount of heat and light.
- What are some common uses of titanium dioxide?
- Titanium dioxide is widely used as a white pigment in paints, plastics, and papers. It's also found in sunscreens, cosmetics, and as a food coloring due to its excellent opacity and UV-blocking properties.
- Is titanium a safe metal to work with regarding combustion?
- While solid titanium is relatively stable, fine titanium dust or shavings are highly combustible and can ignite easily, posing fire and explosion hazards. Proper safety precautions are essential when handling titanium in these forms.
The Combustion Of Titanium With Oxygen Produces Titanium ...
The Combustion Of Titanium With Oxygen Produces Titanium ... Wallpapers
Collection of the combustion of titanium with oxygen produces titanium ... wallpapers for your desktop and mobile devices.

Stunning The Combustion Of Titanium With Oxygen Produces Titanium ... Picture in 4K
This gorgeous the combustion of titanium with oxygen produces titanium ... photo offers a breathtaking view, making it a perfect choice for your next wallpaper.

Exquisite The Combustion Of Titanium With Oxygen Produces Titanium ... Capture Photography
A captivating the combustion of titanium with oxygen produces titanium ... scene that brings tranquility and beauty to any device.

Amazing The Combustion Of Titanium With Oxygen Produces Titanium ... Capture Collection
Experience the crisp clarity of this stunning the combustion of titanium with oxygen produces titanium ... image, available in high resolution for all your screens.

Stunning The Combustion Of Titanium With Oxygen Produces Titanium ... View Concept
Immerse yourself in the stunning details of this beautiful the combustion of titanium with oxygen produces titanium ... wallpaper, designed for a captivating visual experience.

Dynamic The Combustion Of Titanium With Oxygen Produces Titanium ... Landscape Concept
Find inspiration with this unique the combustion of titanium with oxygen produces titanium ... illustration, crafted to provide a fresh look for your background.

Vibrant The Combustion Of Titanium With Oxygen Produces Titanium ... Photo for Desktop
Transform your screen with this vivid the combustion of titanium with oxygen produces titanium ... artwork, a true masterpiece of digital design.

Mesmerizing The Combustion Of Titanium With Oxygen Produces Titanium ... Moment Nature
Discover an amazing the combustion of titanium with oxygen produces titanium ... background image, ideal for personalizing your devices with vibrant colors and intricate designs.

Vivid The Combustion Of Titanium With Oxygen Produces Titanium ... Capture for Your Screen
Transform your screen with this vivid the combustion of titanium with oxygen produces titanium ... artwork, a true masterpiece of digital design.

High-Quality The Combustion Of Titanium With Oxygen Produces Titanium ... Image Digital Art
Experience the crisp clarity of this stunning the combustion of titanium with oxygen produces titanium ... image, available in high resolution for all your screens.

Mesmerizing The Combustion Of Titanium With Oxygen Produces Titanium ... Background Digital Art
Discover an amazing the combustion of titanium with oxygen produces titanium ... background image, ideal for personalizing your devices with vibrant colors and intricate designs.

Spectacular The Combustion Of Titanium With Oxygen Produces Titanium ... Wallpaper Art
This gorgeous the combustion of titanium with oxygen produces titanium ... photo offers a breathtaking view, making it a perfect choice for your next wallpaper.

Serene The Combustion Of Titanium With Oxygen Produces Titanium ... Abstract Nature
Transform your screen with this vivid the combustion of titanium with oxygen produces titanium ... artwork, a true masterpiece of digital design.

Gorgeous The Combustion Of Titanium With Oxygen Produces Titanium ... Scene for Mobile
A captivating the combustion of titanium with oxygen produces titanium ... scene that brings tranquility and beauty to any device.

Artistic The Combustion Of Titanium With Oxygen Produces Titanium ... Capture Nature
Find inspiration with this unique the combustion of titanium with oxygen produces titanium ... illustration, crafted to provide a fresh look for your background.

Mesmerizing The Combustion Of Titanium With Oxygen Produces Titanium ... Landscape for Your Screen
Experience the crisp clarity of this stunning the combustion of titanium with oxygen produces titanium ... image, available in high resolution for all your screens.

Vivid The Combustion Of Titanium With Oxygen Produces Titanium ... Moment in HD
Experience the crisp clarity of this stunning the combustion of titanium with oxygen produces titanium ... image, available in high resolution for all your screens.

Vivid The Combustion Of Titanium With Oxygen Produces Titanium ... Photo Nature
Discover an amazing the combustion of titanium with oxygen produces titanium ... background image, ideal for personalizing your devices with vibrant colors and intricate designs.

Detailed The Combustion Of Titanium With Oxygen Produces Titanium ... Image for Your Screen
Experience the crisp clarity of this stunning the combustion of titanium with oxygen produces titanium ... image, available in high resolution for all your screens.

Serene The Combustion Of Titanium With Oxygen Produces Titanium ... Abstract for Mobile
Experience the crisp clarity of this stunning the combustion of titanium with oxygen produces titanium ... image, available in high resolution for all your screens.

Amazing The Combustion Of Titanium With Oxygen Produces Titanium ... Scene for Mobile
Discover an amazing the combustion of titanium with oxygen produces titanium ... background image, ideal for personalizing your devices with vibrant colors and intricate designs.
Download these the combustion of titanium with oxygen produces titanium ... wallpapers for free and use them on your desktop or mobile devices.
0 Response to "The Combustion Of Titanium With Oxygen Produces Titanium ..."
Post a Comment